
目前蛋品质量在家禽养殖中出现问题越来越严重。优质蛋深受消费者喜爱,而次品蛋主要有破壳蛋、薄壳(软皮)蛋、沙壳蛋、斑点蛋 、血斑蛋、畸形蛋、无黄(空壳)蛋 、钙斑蛋、白壳蛋 、污蛋等。
虽然导致次品蛋因素有很多,蛋鸡输卵管炎为导致次品蛋主要因素,该炎症主要表现为鸡疼痛不安,下的蛋也往往带血迹,严重了会导致畸形蛋甚至无蛋。
所以本试验从次品蛋角度出发,对黄金水果精油进行另外一个角度的研究。
试验目标和意义
降低次蛋率并减少蛋鸡输卵管炎症发生
1、实验方案试验一:试验选取浙江江山市某家庭农场1711产蛋鸡舍,根据抽样原则选择随机抽样,从该鸡舍1400组鸡群中随机抽出大午金凤粉壳蛋鸡群21组,每组4笼,每笼约9羽,共约750只鸡。试验实际数量根据每笼装鸡数作微调整。整个试验周期为12天,在选取的21组样本群体中做好标记,因样本空间为一栋鸡舍,所以先跟踪记录选定鸡舍的21组鸡群前5天的产蛋各类数据,并做好蛋品表观记录。5天后,根据鸡舍总饮水量投放,按照150ppm添加黄金水果,跟踪记录选定的鸡群的产蛋各类数据7天。
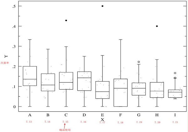
试验二:试验选取浙江江山市某家庭农场1810产蛋鸡舍,分三个时间段在鸡舍分别分4层抽样每组约200枚蛋,共约800枚蛋,记录次蛋发生,分析对比使用精油前后的次蛋率。
图-1810鸡舍精油时间序列次蛋率箱线图
结论
1、饲用精油-黄金水果可以在蛋鸡生产中使用,可以显著减少次品蛋的发生A Vs B(P<0.05)且不影响其生产性能。2、饲用精油-黄金水果可以替代抗生素进行使用,同时为蛋鸡带来健康生产,最终优质的产品造福于企业以及消费者。
黄金水果是上海梵蓝国际贸易有限公司从欧洲进口的饲用精油(主要成分是百里香酚和香芹酚)是一种安全、高效、绿色、无配伍禁忌的创新型植物提取物,由法国GAC、西班牙博尔达斯集团(BORDAS GROUP)和瑞士GERACOM公司共同研制的,无毒、无残留、长期添加无抗药性。可以有效解决动物实际生产中各种环境和氧化应激导致的菌群失调和炎症等引发的常见问题,系统改善动物肠道,呼吸道等机体健康,增进食欲,提高采食量和营养物质消化吸收,从而提高动物生产性能。